Benvenuti in Shandong Junzheng Chemical Technology Co., Ltd.
Prodotti
Navigazione
Inviaci un messaggio
Il destrano è utilizzato in forma di sfere per supportare applicazioni nei bioreattori, in alcune matrici per cromatografia ad esclusione dimensionale e negli studi sulla tecnica dello stress osmotico che coinvolgono molecole biologiche. Può essere usato come rivestimento stabilizzante per proteggere le nanoparticelle metalliche dall'ossidazione.
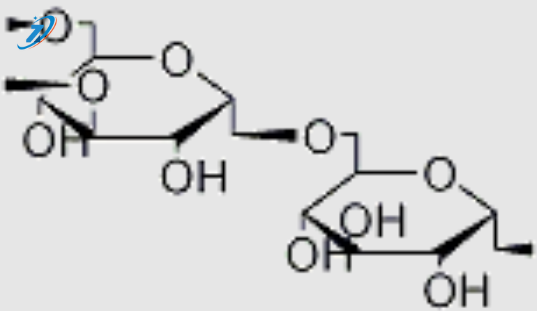
I destrani sono polisaccaridi di glucosio a catena lunga con varie masse molecolari relative. Il destrano 70 (massa molecolare relativa 70 000) viene trattenuto nello spazio intravascolare dove, come l'albumina, contribuisce alla pressione oncotica colloidale del plasma. A differenza dell'albumina, il destrano 70, quando somministrato in grandi quantità, previene l'aggregazione piastrinica e facilita la fibrinolisi.
Informazioni sulla sicurezza
Utilizzo del prodotto
Il destrano è un polisaccaride naturale prodotto mediante fermentazione microbica ed è ampiamente utilizzato nei settori farmaceutico, alimentare e cosmetico. Nell'industria farmaceutica, è comunemente usato come espansore del volume plasmatico e come vettore di farmaci, contribuendo a migliorare la microcircolazione e ad aumentare la stabilità dei farmaci. Nell'industria alimentare, il destrano svolge la funzione di addensante, stabilizzante e agente di ritenzione dell'umidità, migliorando la consistenza e la sensazione al palato. Nei cosmetici, offre eccellenti proprietà idratanti e filmogene, contribuendo a rafforzare la barriera cutanea e a migliorare l'idratazione. È ampiamente utilizzato in formulazioni come lozioni, creme e sieri.
Tempi di consegna
Magazzino 2-3 giorni lavorativi Nuova produzione 7-10 giorni lavorativi
Modalità di trasporto
1. Per via aerea, veloce ma costosa.
2. Via mare, usuale ed economica.
3. In treno, adatto ai paesi dell'Asia centrale.
4. Tramite corriere espresso, adatto per piccoli pacchi.
Forniamo solo prodotti della massima qualità disponibili, accompagnati da assistenza post-vendita!
D1: I vostri prodotti sono conformi agli standard internazionali?
R1: Sì, la nostra azienda possiede numerose certificazioni fondamentali riconosciute a livello internazionale. Tutte le attività di produzione e operative seguono rigorosamente gli standard internazionali in materia di ambiente, sicurezza e qualità, e ogni lotto di prodotti è accompagnato da un rapporto di prova di conformità per soddisfare i requisiti dell'industria chimica nelle diverse regioni del mondo.
D2: Fornite servizi di personalizzazione dei prodotti?
R2: Sì, disponiamo di un team di R&S professionale e di una capacità produttiva avanzata. Possiamo personalizzare prodotti chimici con specifiche e prestazioni diverse in base alle esigenze specifiche dei clienti, e fornire supporto tecnico per l'intero processo per soddisfare le esigenze applicative personalizzate delle industrie a valle.
D3: Qual è il ciclo di consegna approssimativo dei prodotti?
R3: Il ciclo di consegna varia in base al tipo di prodotto, alla quantità dell'ordine e alla destinazione. Disponiamo di un sistema completo di catena di approvvigionamento globale per garantire una consegna delle merci rapida e sicura. Per il ciclo specifico, potete consultare il nostro team di vendita per informazioni dettagliate.
D4: Come ottenere campioni di prodotto?
R4: Potete contattare il nostro servizio clienti o il team di vendita per specificare il modello e le specifiche dei campioni richiesti. Forniremo campioni gratuiti in base alla situazione reale, e il costo di spedizione dei campioni può essere negoziato.


